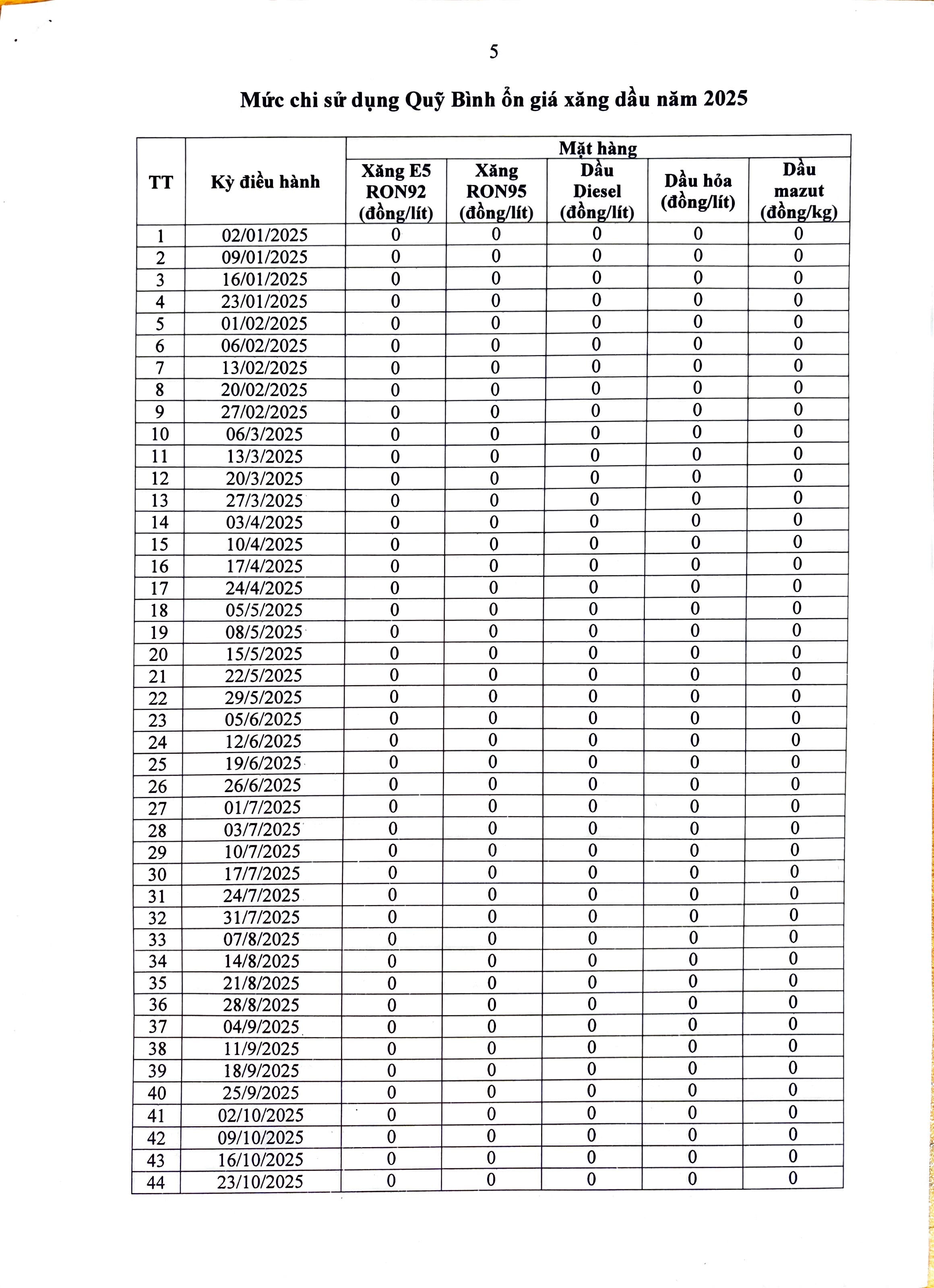
Một số thông tin điều hành xăng dầu ngày 25.12.2025
Bộ Công Thương
03:02 CH @ Thứ Năm - 25 tháng 12, 2025





Cùng chuyên mục
Tin nổi bật
Giá xăng dầu, thông tin đầu tư và các thông tin khác






Cam kết nỗ lực không ngừng để tiến xa hơn trên con đường phát triển và đưa cuộc sống của người Việt Nam cùng toàn thể người lao động Petrolimex lên tầm cao mới trong tương lai